алгебре 7 мордкович задачник ответы

г. 15. 14 алгебра 7 класс. гдз алгебра 7 мордкович. мордкович, номер 26.
г. 15. 14 алгебра 7 класс. гдз алгебра 7 мордкович. мордкович, номер 26.
гдз по алгебре 7 класс мордкович 2. 2. тесты по алгебре 7 класс мордкович. мордкович 7 класс задания. гдз алгебра 7 класс мордкович задачник.
гдз по алгебре 7 класс мордкович 2. 2. тесты по алгебре 7 класс мордкович. мордкович 7 класс задания. гдз алгебра 7 класс мордкович задачник.
алгебре 7 мордкович задачник ответы. гдз по алгебре 7 класс упражнение 1048. гдз по алгебре 7 класс мордкович 7. алгебра 7 класс мордкович николаев задачник. гдз по алгебре 7 класс мордкович.
алгебре 7 мордкович задачник ответы. гдз по алгебре 7 класс упражнение 1048. гдз по алгебре 7 класс мордкович 7. алгебра 7 класс мордкович николаев задачник. гдз по алгебре 7 класс мордкович.
гдз по алгебре 7 класс задачник к9. 2. алгебра 7 класс мордкович 26. 2. алгебре 7 мордкович задачник ответы.
гдз по алгебре 7 класс задачник к9. 2. алгебра 7 класс мордкович 26. 2. алгебре 7 мордкович задачник ответы.
гдз по алгебре 7 класс мордкович задачник. алгебра 7 класс мордкович александрова. алгебра 7 класс мордкович номер 25. гдз по алгебре 7 класс мордкович семенов. алгебре 7 мордкович задачник ответы.
гдз по алгебре 7 класс мордкович задачник. алгебра 7 класс мордкович александрова. алгебра 7 класс мордкович номер 25. гдз по алгебре 7 класс мордкович семенов. алгебре 7 мордкович задачник ответы.
гдз по алгебре 7 класс мордкович семенов александрова. алгебре 7 мордкович задачник ответы. гдз алгебра 7 класс мордкович отверткин. алгебре 7 мордкович задачник ответы. гдз по алгебре 7 класс 26.
гдз по алгебре 7 класс мордкович семенов александрова. алгебре 7 мордкович задачник ответы. гдз алгебра 7 класс мордкович отверткин. алгебре 7 мордкович задачник ответы. гдз по алгебре 7 класс 26.
алгебре 7 мордкович задачник ответы. 9. алгебра 10-11 класс мордкович гдз. алгебра 7 класс задачник ответы. алгебра 7 класс мордкович номер 13.
алгебре 7 мордкович задачник ответы. 9. алгебра 10-11 класс мордкович гдз. алгебра 7 класс задачник ответы. алгебра 7 класс мордкович номер 13.
14 по алгебре 7 класс мордкович. алгебра 7 класс мордкович семенов гдз 2020. алгебре 7 мордкович задачник ответы. 13. гдз по алгебре 7 класс мордкович 2020.
14 по алгебре 7 класс мордкович. алгебра 7 класс мордкович семенов гдз 2020. алгебре 7 мордкович задачник ответы. 13. гдз по алгебре 7 класс мордкович 2020.
гдз алгебра 7 класс задачник. алгебра 7 класс мордкович 2 часть гдз. алгебре 7 мордкович задачник ответы. номер 14. номер 30.
гдз алгебра 7 класс задачник. алгебра 7 класс мордкович 2 часть гдз. алгебре 7 мордкович задачник ответы. номер 14. номер 30.
алгебра 7 класс задачник часть 2 мордкович мишустин. 13. 7. готово домашние задания по алгебре седьмой класс мордкович. алгебра задачник мордкович алгебра 7 класс.
алгебра 7 класс задачник часть 2 мордкович мишустин. 13. 7. готово домашние задания по алгебре седьмой класс мордкович. алгебра задачник мордкович алгебра 7 класс.
алгебра 9 класс мордкович 7. алгебра 7 класс мордкович задачник. седьмой класс алгебра гдз мордкович. 20. алгебре 7 мордкович задачник ответы.
алгебра 9 класс мордкович 7. алгебра 7 класс мордкович задачник. седьмой класс алгебра гдз мордкович. 20. алгебре 7 мордкович задачник ответы.
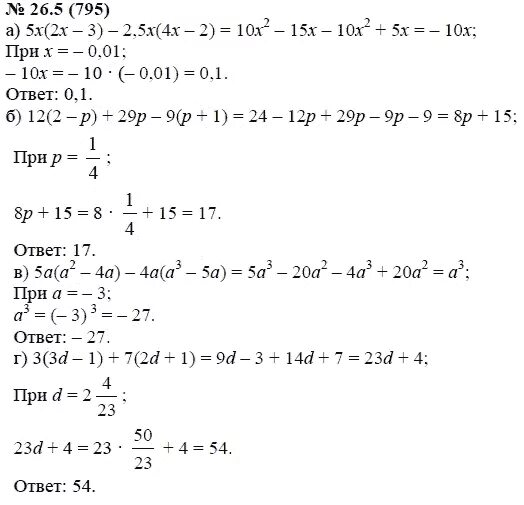
решение 5. алгебра 7 класс мордкович 2 часть номер 26. алгебра 7 класс мордкович номер 26. алгебре 7 мордкович задачник ответы. 14 по алгебре 7 класс мордкович.
решение 5. алгебра 7 класс мордкович 2 часть номер 26. алгебра 7 класс мордкович номер 26. алгебре 7 мордкович задачник ответы. 14 по алгебре 7 класс мордкович.
21. задачник по алгебре 7 класс мордкович мишустина тульчинская. алгебра профильная 7 класс мордкович задачник 2013 года выпуска ответы. алгебра 8 класс мордкович семенов александрова мардахаева. алгебра 7 класс а.
21. задачник по алгебре 7 класс мордкович мишустина тульчинская. алгебра профильная 7 класс мордкович задачник 2013 года выпуска ответы. алгебра 8 класс мордкович семенов александрова мардахаева. алгебра 7 класс а.
алгебра 7 класс мордкович александрова мишустина тульчинская. алгебра 7 класс а. номер 18. алгебре 7 мордкович задачник ответы. гдз мордкович 7.
алгебра 7 класс мордкович александрова мишустина тульчинская. алгебра 7 класс а. номер 18. алгебре 7 мордкович задачник ответы. гдз мордкович 7.
решебник по алгебре. алгебре 7 мордкович задачник ответы. номер 23. 14. алгебре 7 мордкович задачник ответы.
решебник по алгебре. алгебре 7 мордкович задачник ответы. номер 23. 14. алгебре 7 мордкович задачник ответы.
алгебре 7 мордкович задачник ответы. мордкович, номер 26. алгебра 10 класс мордкович номер 13. 18 алгебра 7 класс мордкович. г.
алгебре 7 мордкович задачник ответы. мордкович, номер 26. алгебра 10 класс мордкович номер 13. 18 алгебра 7 класс мордкович. г.
гдз по алгебре 7 класс мордкович 7. 2. 7. алгебра 7 класс мордкович задачник. 5 алгебра 7 класс мордкович.
гдз по алгебре 7 класс мордкович 7. 2. 7. алгебра 7 класс мордкович задачник. 5 алгебра 7 класс мордкович.
10. алгебре 7 мордкович задачник ответы. 26 по алгебре мордкович 7 класс. 14. гдз по алгебре 7 класс мордкович 2.
10. алгебре 7 мордкович задачник ответы. 26 по алгебре мордкович 7 класс. 14. гдз по алгебре 7 класс мордкович 2.
21. алгебра мишустина мордкович 7 класс. алгебре 7 мордкович задачник ответы. гдз 7 класс мордкович. мордкович алгебра 7 класс 7.
21. алгебра мишустина мордкович 7 класс. алгебре 7 мордкович задачник ответы. гдз 7 класс мордкович. мордкович алгебра 7 класс 7.
алгебре 7 мордкович задачник ответы. алгебра 7 класс мордкович семёнов александрова мардахаева. алгебре 7 мордкович задачник ответы. 14. 6.
алгебре 7 мордкович задачник ответы. алгебра 7 класс мордкович семёнов александрова мардахаева. алгебре 7 мордкович задачник ответы. 14. 6.